Bài của VŨ HỮU NHƯ


Điều kỳ diệu nhất trên hành tinh xanh của chúng ta là sự sống và con người.
Con người hiện diện trong một vũ trụ bao la với vô vàn bí ẩn, sẽ là quá khó nếu muốn khám phá và giải đáp mọi bí ẩn…
Trạng trình Nguyễn Bỉnh Khiêm sinh ngày 06 tháng 4 năm 1491 tại làng Trung Am, huyện Vĩnh Bảo, thành phố Hải Phòng. Hai bên nội ngoại là hai làng nằm hai bên bờ sông Tuyết Giang (nay gọi sông Hàn, chảy giữa hai huyện Vĩnh Bảo và Tiên Lãng, nổi tiếng với bến Đò Hàn). Cụ là danh nhân văn hóa lớn của Việt Nam, cụ cũng nổi tiếng với khả năng tiên tri và hoạch định chiến lược, là nhà thơ lớn và cuộc đời cụ gắn liền với nhiều truyền tụng bí ẩn trong nhân dân. Năm nay tròn 530 năm ngày sinh của cụ, xin có chút lời bàn vế khả năng tiên tri của cụ từ cách hiểu của Sinh Học Lượng Tử (Quantum Biology). Năm 2020 chúng tôi đã giới thiệu với quý vị độc giả bài viết giới thiệu về Cơ sở toán học và ý nghĩa triết học của Thái Ất Thần Kinh, một tác phẩm khoa học dự báo nổi tiếng của Nguyễn Bỉnh Khiêm. Bài viết nhằm giới thiệu những dự báo về biến động xã hội, nhân mệnh và đặc biết về binh pháp trên cơ sở nghiên cứu sự vận hành của 16 sao Chính Tinh trên Bầu Trời Thái Ất. Tài năng thiên bẩm của cụ là sự kết hợp hài hòa giữa Năng Lực Trí Tuệ và Năng Lực Tâm Linh.
Khi nghiên cứu sự sống ở cấp độ các loài (species) chúng ta sẽ vô cùng ngạc nhiên về sự đa dạng sinh học. Con người chưa thể tiếp cận với tất cả các sinh vật trên mặt địa cầu và dưới các độ sâu đen ngòm của đáy đại dương để xây dựng phả hệ phân loại chi tiết, như vậy sẽ không đủ thông tin để xây dựng một học thuyết tiến hóa.
Sẽ là càng bất lực khi con người nghiên cứu sự sống ở cấp độ tế bào và phân tử (molecular biology). Chỉ những cơ chế sao chép DNA và Sinh tổng hợp protein đã làm cho chúng ta liên tiếp đi từ sự ngạc nhiên này đến sự ngạc nhiên đầy khó hiểu triền miên khác. Nhưng khi bước chân vào lĩnh vực Sinh học lượng tử thì cách mà sự sống điều khiển và sử dụng các quá trình lượng tử để bảo toàn sự sống của các sinh vật khiến ta nhận ra ranh giới giữa “khoa học” và “ma quái” dường như không còn rõ rệt nữa.
Các nhà khoa học ước tính trên cơ thể con người ta có chừng 50.000 tỷ tế bào, làm thế nào một hệ thống cực kỳ phức tạp như thế có thể vận hành trôi chảy…?
Nếu không có ranh giới cứng nhắc giữa hạt và trường, giữa thể xác và linh hồn thì sự tương tác giữa con người với thế giới tự nhiên sẽ không thể là đơn giản. Chúng ta vẫn hình dung “con người” có tổ tiên là “vượn người”, đây chắc chỉ là một cách để dạy cho học sinh tiểu học dễ tiếp thu mà thôi. Thực ra cái thuật ngữ “cơ sở khoa học” chủ yếu chỉ là nhằm nói đến những hiểu biết của con người trong khoảng 2500 năm qua. Nếu nói chặt chẽ hơn thì chỉ là từ Thời Kỳ Phục Hưng (thế kỷ XVI). Có rất nhiều những dấu tích vĩ đại đang còn hiện diện trên Trái Đất không thể nói là “thành quả lao động của vượn người”. Thần thoại Hy Lạp không thể là tác phẩm hư cấu của những con khỉ v.v…
Trong cuồn sách cổ Polpo Vuh tìm thấy trong một kim tự tháp ở nam Mỹ có nói về nguồn gốc loài người như sau:
“Khi xưa, con người không có hình thể rõ ràng như ngày nay, mà chỉ là những thực thể thanh nhẹ, sống trong thế giới gần với các thần linh. Họ có khả năng lý luận sâu sắc và liên lạc với nhau bằng tư tưởng. Những thực thể này sở hữu một thứ nhãn quan gần như là vô hạn, có thể nhìn thấy mọi sự”.
Cuốn sách còn giải thích thêm rằng vì loài người ngày càng có nhu cầu đòi hỏi nhiều đối với các thứ vật chất tầm thường do đó đã tạo ra chiếc vỏ vật chất bao bọc thân thể họ, khiến các giác quan mất dần sự tinh tế, nhạy bén, do đó các giác quan siêu việt của linh hồn bị thay thế bởi các giác quan của thể xác vật chất hạ đẳng.
Năm 1900, Max Planck khi nghiên cứu quy luật bức xạ của “vật đen tuyệt đối” đã thiết lập được hệ thức nổi tiếng:

Biểu thức này nói rằng bức xạ nhiệt của vật đen tuyệt đối được thực hiện bởi các “lượng tử” tức là phát ra các “phần tử năng lượng” có năng lượng bằng tích của tần số (của sóng bức xạ) với hằng số (sau này được gọi là hằng số Planck). Hệ thức này đã mở đầu cho kỷ nguyên “Vật lý Lượng tử”.
Năm 1905, thuyết tương đối hẹp (special relativily theory) của A. Einstein ra đời đã dẫn tới một hệ thức nổi tiếng E = mc2, trong đó c là vận tốc ánh sáng trong chân không được thừa nhận là vận tốc truyền tương tác cực đại.
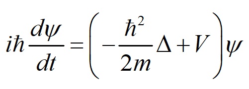
Năm 1925 khi nghiên cứu mối tương quan giữa “hạt” và “sóng” của các hạt hạ nguyên tử, Erwin Schrödinger đã thiết lập được phương trình cơ bản của cơ học lượng tử:

Trong đó là hàm sóng mô tả trạng thái của hạt. Phương trình này đánh dấu sự “lượng tử hoá lần thứ nhất”.
Từ những thập niên thứ ba của thế kỷ XX, các nhà Vật lý đứng trước sự khám phá ra rất nhiều các hạt hạ nguyên tử mới lạ như neutron, positron, neutrino,… cùng với sự biến hoá sinh-huỷ hạt của các hạt vi mô đã dẫn tới sự ra đời của Lý thuyết trường lượng tử (Quantum fields theory). Đó là sự “lượng tử hoá lần thứ hai”. Khi xem các “trường” là một tập hợp của các “trường lượng tử”. Phương trình Euler-Lagrange vốn dĩ được sử dụng từ thế kỷ XVIII trong môn Cơ học lý thuyết nay đã được phát triển để áp dụng cho Lý thuyết trường lượng tử. Phương trình

được xem là phương trình cơ bản của Lý thuyết trường lượng tử. Trong đó L là các hàm trường, các hàm mô tả trạng thái năng lượng của trường.
Khi đi sâu vào thế giới Vật lý lượng tử, các nhà vật lý bỗng thấy những điều mới lạ, điên rồ của thế giới các hạt vi mô té ra có những sự tương đồng đã được nói đến từ thời xa xưa qua triết học, khảo cổ học và đặc biệt là trong các kinh sách tôn giáo. Khi nói về sự sống và con người, chính Erwin Schrödinger cũng đã phải thốt lên sự ngạc nhiên:
“What is Life?”
Đặc biệt với Max Planck thì con người chính là sự bí ẩn phải xếp vào hạng “cơ bản nhất”. Chính con người đã quan sát, nhận thức thế giới và tạo ra khoa học để lý giải những bí ẩn, đặc biệt là những bí ẩn của chính con người. Điều đó cũng có nghĩa các nhà Vật lý đã đặt nền móng cho môn Sinh học lượng tử. Thực ra từ thế kỷ XVII, nhà Toán học và Triết học người Pháp René Descartes cũng đã hết sức bận tâm đến sự tồn tại của sự sống và con người trên Trái Đất qua câu nói nổi tiếng của ông: “Cogito ergo sum” (Tôi tư duy, tôi tồn tại). Sự viếng thăm ngắn ngủi của đời một con người trên Trái Đất khiến chính ta tự hoài nghi về sự tồn tại và nhận thức của mình. Những nền văn minh xa xưa đã từng có trên Trái Đất đã để lại những dấu ấn đáng kinh ngạc mà khoa học hiện đại không thể giải thích được. Vấn đề là tư duy của con người có thể là vô hạn không? Tuyên ngôn của D. Hilbert: “Chúng ta phải biết, chúng ra sẽ biết” (We must know, we shall know) có phải là mặt trời soi sáng thế gian không, có lẽ là quá lạc quan.
Với công trình nghiên cứu của James Watson và Francis Crick về cấu trúc xoắn kép của phân tử DNA sinh học phân tử đã ra đời (1953).
Trên cơ sở của cơ học lượng tử, môn Hoá sinh lượng tử cũng góp phần soi sáng cơ chế lượng tử của nhiều quá trình hoá sinh của sự sống. Những thành tựu này đã soi sáng sự sống ở cấp độ phân tử.
Nhưng những bí ẩn của sự sống và con người vẫn còn giữ khoảng cách khá xa đối với khoa học hiện đại. Sự ngăn trở khó vượt qua khi đòi hỏi: con người phải lý giải về bí ẩn của con người, đó là hình thái tự quy chiếu (self-referential paradoxes). Nhưng ham muốn khám phá thế giới là bản năng thiên bẩm của động vật cấp cao và con người và khi vận dụng những nguyên lý của vật lý lượng tử vào sự sông và đời sống con người ta sẽ thấy ngạc nhiên vì có những sự tương đồng khó hiểu. Để tìm lời giải đáp, cần phải nghiên cứu con người ở cấp độ nguyên tử và hạ nguyên tử (subatomic).
Vấn đề thế xác và linh hồn thuộc hai thế giới hữu hình và vô hình không phải chỉ là những khái niệm của các tôn giáo, điều tương tự cũng đã xảy ra qua những cuộc tranh luận dai dẳng của các nhà Vật lý đối với khái niệm sóng và hạt, chất và trường.
Jawahalal Nehru cũng đã từng nói rằng “Cuộc sống không phải chỉ bao gồm toàn những gì chúng ta nhìn thấy, nghe thấy và cảm thấy. Nghĩa là thế giới hữu hình không những đang biến đổi theo thời gian, không gian, mà nó còn liên tục tiếp xúc với một thế giới vô hình của các yếu tố khác có thể bền vững hơn, hoặc cũng biến đổi, và không một ai có trí suy xét lại có thể bỏ qua thế giới vô hình này”
Trên thực tế trong triết học của nhiều tôn giáo, người ta khẳng định rằng: con người có thể tồn tại ở hai trạng thái “Duy độ vật chất” và “Duy độ tinh quang”. Louis Pasteur cũng đã tùng khảng định rằng: Sau khi chết, sự sống xuất hiện trở lại dưới một hình thức khác và với những quy luật khác nhau. Điều này giống như trong vật lý lượng tử “hạt” và “trường” là hai trạng thái tồn tại của một vi hạt. Để có thể đi sâu hơn, chúng ta hãy điểm lại các hiệu ứng khác thường của Vật lý lượng tử, đó là các hiệu ứng:
- Quantum Tunnelling (hiệu ứng đường hầm)
- Quantum Entanglement (hiệu ứng chồng chập lượng tử)
- Spooky Action At A Distance (hiệu ứng tác động ma quái)
- Quantum Teleportation (hiệu ứng thần thông chuyển vị lượng tử)
- The Ghost Field (sự tồn tại của các trường vong)
Các hiệu ứng này cho thấy rằng trong thế giới hạ nguyên tử các hạt vi mô có thể:
- Vượt qua hàng rào thế năng bằng cách chui qua đường hầm (như đoàn tàu xe lửa đi qua đèo).
- Hạt vi mô cùng một lúc có thể đồng thời tồn tại ở nhiều trạng thái (và nhờ đó tạo ra các bit lượng tử – Quantum bit).
- Không còn khái niệm khoảng cách không gian và thời gian nữa (vì một hạt có thể tác động tức thì lên một hạt khác ở xa nó, hiệu ứng này tạo ra khả năng viễn chuyển thông tin lượng tử).
- Hạt có thể đồng thời cùng một lúc xuất hiện ở nhiều nơi (như Tôn hành giả vẫn biến ảo).
- Mỗi hạt luôn gắn bó với một “linh hồn”, mặc dù không thấy được tường minh.
Sự sống xét cho cùng là những cấu trúc của những nguyên tử, là tập hợp của các nguyên tố có trong bảng tuần hoàn các nguyên tố. Có thể nêu một ví dụ về các nguyên tử cấu tạo nên phân tử Hemoglobin tạo nên Hồng cầu. Đây là những chiếc xe vận chuyển và cung cấp oxygen cho toàn bộ cơ thể con người. Nếu những chiếc xe này không hoạt động được, chúng ta sẽ chết ngạt. Đây cũng là một ví dụ về một cơ chế của Vật lý lượng tử có vai trò quan trọng trong cơ thể con người.

Vòng Pyron
Bây giờ đến lúc ta phải nói đến một số quá trình của Sinh học lượng tử.
Cơ thể con người chứa khoảng năm mươi ngàn tỷ tế bào, với mỗi tế bào là một hệ thống tổ chức vô cùng phức tạp và tinh xảo ở cấp độ phân tử và nguyên tử, vì thế mà người ta thường nói “con người là một vũ trụ thu nhỏ”.
Nhưng xét cho cùng thì dù là ở cấp độ tế bào hay phân tử, cơ thể con người là một cấu trúc do các nguyên tử được tổ chức theo những nguyên lý liên kết đặc biệt của Vật lý lượng tử để tạo nên thế giới hữu cơ và đỉnh cao là tạo ra một bộ máy tiếp nhận và xử lý thông tin tinh xảo. Đây là điều khác biệt cơ bản giữa thế giới sinh học và thế giới vô cơ. Tinh thể lỏng DNA hoàn toàn khác với tinh thể kim cương (diamond) bởi nó đã được cài đặt trên cơ sở tiên đề thứ tự (order axiom) để lưu trữ một chương trình và một lượng thông tin đủ lớn để điều hành quá trình tái sinh, tái bản phân tử DNA (replication DNA).
Tuy nhiên, trước đây người ta cho rằng các phân tử DNA và RNA đã lưu trữ và cài đặt đầy đủ mọi chương trình điều hành sự phát triển của cơ thể. Nhưng khi dự án giải mã bộ Gene người kết thúc thì hy vọng đó sụp đổ. Người ta ngạc nhiên vì bộ gene con người có 95% là giống bộ gene của loài hắc tinh tinh (P. Troglodytes).
Như vậy thực ra hợp tử (zygote) của hai cơ thể song sinh gần giống như hai chiếc máy tính (computer) mới mua về và đã được cài đặt một hệ lập trình nào đó mà thôi. Còn sự hoạt động và vận hành của chiếc computer là tuỳ thuộc vào các thông tin sẽ được đưa vào thông qua người sử dụng computer. Nói rõ hơn thì tập hợp các phân tử DNA và RNA trong phôi thai của con người không quyết định hoàn toàn sự sinh trưởng và phát triển tức là sinh mệnh của một con người mà còn chịu sự chi phối, điều hành của các thông tin gửi tới từ môi trường xung quanh (phong thuỷ) và từ vũ trụ. Đây chính là vấn đề “gene mở và mở gene” và đây cũng chính là thánh địa của sinh học lượng tử, nơi mà các quá trình lượng tử trực tiếp tham gia vào nhiều cơ chế hoạt động của sự sống nói chung và con người nói riêng. Thực tế là chỉ có khoảng 15% số gene (số đoạn phân tử DNA) tham gia điều hành hoạt động thông thường của một con người. Điều đó nghĩa là còn khoảng 80% số gene đang còn chưa được khai thác sử dụng (điều này cũng là tương tự đối với số neuron có trong bộ não, người ta ước tính chỉ có khoảng 5% năng lực của bộ não người đã được khai thác).
Để minh hoạ, chúng ta tiếp tục đi sâu vào một vài quá trình sinh học cụ thể.
Chúng ta biết rằng mã di truyền được viết bằng 4 ký tự A, T, G, C. Trong đó các base Ademin và Guamin cùng sử dụng vòng kép purimidin. Còn lại các base thimin và citocin thì cùng sử dụng vòng đơn pirimidin.

Các base nitơ này được gắn trên một “trục xương sống” tạo nên từ các liên kết của acid phosphoris và đường Deoxyribose. Quan sát kỹ ta sẽ nhận thấy sự khác nhau giữa thimine và cytosine đều liên quan đến sự di chuyển của các proton (ion H+) từ liên kết này sang liên kết khác. Hiện tượng này khá phổ biến trong các hợp chất hoá sinh, thường được gọi là sự hỗ biến, nó đặc biệt rõ trong các “hỗ biến đồng phân”.
Ví dụ:

Hệ quả của sự hoán đổi vị trí của proton trong phân tử sẽ dẫn tới sự biến đổi của thông tin di truyền.
Tiếp theo phải nói đến hiện tượng quang hợp
Sự tương tác trực tiếp của bức xạ vũ trụ đến hoạt động của các hệ sinh vật được nghiên cứu sớm nhất là hiện tượng quang hợp (photosynthesis) diễn ra ở thực vật và một số vi sinh vật tự dưỡng. Đây là một trong những quá trình sinh học lượng tử điển hình. Theo các định luật quang điện của A. Einstein thì mỗi lượng tử ánh sáng mang theo một năng lượng

Năng lượng này được hấp thụ trực tiếp nhờ sự dao động của các phân tử diệp lục (chlorophyll) chứa trong các hạt lục lạp (chloroplast) với hiệu suất sử dụng là 99%. Kết quả biểu diễn bởi phương trình:
6CO2 + 12H2O + photon ® C6H12O6 + 6H2O + 6O2

Nhờ đó mà cây xanh hấp thụ khí CO2 và nhả ra dưỡng khí oxygen cho con người. Thông qua chu trình Calvin phản ứng quang hợp còn tạo ra các electron cao năng và các hợp chất cao năng NADBH, ATP cần thiết cho nhiều hoạt động sống của tế bào.
Một quá trình sinh học lượng tử khác cần phải nói đến là hoạt động của mitochondria (ti thể). Có hàng ngàn mitochondria trôi nổi trong dịch bào của tế bào (cytoplasm). Đó là những cấu tử hình que nhỏ bé, những chiếc pin sinh học vô cùng tinh xảo, được phóng to trên hình vẽ.

Mitochondria có chức năng chuyển hoá năng lượng hoá học từ thực phẩm (ví dụ: đường) thành năng lượng hoá học dưới dạng các phân tử cao năng ATP (Adenosin Triphophat). Về cấu trúc nó là một cái bọc được bao kín bởi một lớp màng kép, bên trong là một chất lỏng chứa rất nhiều loại enzyme. Các phân tử enzyme này sẽ trực tiếp tham gia vào quá trình tạo ra ATP. Đây là một quá trình oxy hoá khử (Redox) khá phức tạp. Lớp màng trong của mitochondria tạo ra rất nhiều nếp gấp (The Folds), trên màng có gắn nhiều phân tử protein (enzyme), chúng tạo ra các hệ dẫn truyền electron rất tinh xảo (Electron Transport Chain).

Các phân tử NADH (Nicotinamide Adenine Dinucleotide) là những con thoi vận chuyển electron di chuyển trong mạch ETC. Kết quả tạo ra một dòng thác electron (electron cascade). Dòng thác này tạo ra một điện thế vận chuyển các proton (H+) về một phía của màng, do đó tạo ra một Gradian ion H+ giữa hai phía của màng. Nhờ điện thế này phản ứng ADP+P sẽ tạo ra ATP.
Các quá trình Sinh học lượng tử đặc biệt có liên quan đến một cấu trúc rất quan trọng của mọi tế bào sinh học đó là cấu trúc tinh thể lỏng (liquid crystal).Cấu trúc tinh thể lỏng là một nét đặc thù đối với các qúa trình tiếp nhận và phát xạ sóng của trường sinh học. Ngoài các hạt lục lạp chứa rất nhiều tinh thể lỏng, trung tâm của hiệu ứng quang hợp, một bí ẩn đang chứa đầy thách thức là sự hiện diện của tuyến tùng (Pineal Gland – PG), liên quan đến luân xa thú bẩy và thiên nhãn (con mắt thứ ba).Cấu trúc màng của các neuron là các cấu trúc tinh thể lỏng. nhờ cấu trúc này mà việc vận chuyển các ion Na và K qua màng neuron được thực hiện thuận lợi để tạo ra một xung điện thần kinh với độ mờ là 7ms. Nếu có những tác nhân thu hẹp độ mờ (ví dụ chỉ còn 1ms) thì tốc độ làm việc của hệ thần kinh sẽ tăng lên rất nhiều. Rất tiếc hiện nay chưa có những nghiên cứu sâu về cấu trúc và những tính chất lượng tử của màng trên các neron tuyến tùng để góp phần làm sáng tỏ những tính chất đặc biệt này của tuyến tùng.

Vai trò linh thiêng của tuyến tùng được thể hiện qua sự sùng kính của nhiều tôn giáo trên thế giới. Nhà toán học – triết học R. Descarts đã từng nói rằng: Tuyến tùng là nơi ngự trị của linh hồn.
Tuyến tùng là một bó dây thần kinh có hình quả thông, nằm gọn tại trung tâm đại não, kích thước nhỏ hơn 1cm. Nếu bộ não người có khối lượng chừng 1300g, chứa khoảng 100 tỷ tế bào thần kinh thì tuyến tùng là quá nhỏ bé, nhưng vai trò của nó thì đang chứa đựng quá nhiều bí ẩn.
Theo nhiều kinh sách thì con người thời xa xưa (cách nay hàng triệu năm) có nhiều khả năng của các thần thánh, do được sở hữu một tuyến tùng rất nhạy bén. Nhưng do loài người ngày càng quá đông đúc, nhu cầu chiếm hữu của cải vật chất càng tăng lên, chiến tranh triền miên, môi trường sống bị hủy hoại, khiến tuyến tùng ngày càng bị đầu độc (vôi hóa nghiêm trọng do sự xâm nhập và tích tụ của các ion F,Cl, Ca, …).
Ở phần trên ta đã nói đến hai hệ thức:
![]()
Điều quan trọng nhất của hai hệ thức này là ở chỗ cho ta mối liên hệ bộ ba quan trọng:

Điều này đã được Lão Tử nêu racách đây 2500 năm, đó chính là khái niệm Đạo, khái niệm này nhằm diễn tả hình thức tổng quát của năng lượng vũ trụ.
Điều này cũng đã được nhà Vật lý, nhà phát minh vĩ đại Nicolas Tesla nói một cách khá bí ẩn: “Nếu bạn muốn biết những bí mật của vũ trụ, hãy suy nghĩ về năng lượng, tần số và rung động”.
Điều đó có nghĩa là trong vũ trụ, các quá trình sinh-hủy hạt là những quá trình biến đổi của các dạng năng lượng luôn luôn diễn ra.
Trong vật lý hạt nhân có một khái niệm ít được biết đến: năng lượng liên kết. Năng lượng này tạo ra lực liên kết hạt nhân. Đó là một loại lực rất lạ, người ta tạm gọi là lực liên kết mạnh, nhờ nó các nucleon liên kết chặt chẽ với nhau. Phải nhờ đến sự bắn phá của các neutron ta sẽ tạo ra phản ứng phân hạch, và đây là cơ hội để ta thấy sự xuất hiện của năng lượng liên kết qua hiện tượng hụt khối:
Tổng Số (Năng Lượng + Khối Lượng) tạo ra sau phản ứng
Lớn hơn khối lượng của hạt nhân mẹ (ban đầu).
Sự chuyển đổi ngoạn mục này của năng lượng liên kết cho ta thấy trong những điều kiện nhất định, một năng lượng liên kết có thể được chuyển hóa thành một trường, chính xác hơn là một trường lượng tử.
Về phân loại có những trường lượng tử khác nhau, với chủ đề của chúng ta quan trọng nhất là trường lượng tử vector. Đó là một loại trường năng lượng thông tin (the Information Field, Ei).Trong vũ trụ có nhiều loại trường Ei (gần gũi nhất là trường của sóng truyền hình). Trong tác phẩm Thái Ất Thần Kinh cụ Nguyễn Bỉnh Khiêm đã viết về loại trường này trong chương Vũ Trụ Tuyến Truyền Qua Các Sao. Hiện nay người ta đã chụp được hình ảnh của trương sinh học ở mức độ đơn giản (trong Phật giáo được gọi là những hào quang). Rất có thể linh hồn cũng chỉ là một trường năng lượng thông tin được tách ra khỏi thân thể trong những điều kiện đặc biệt. Theo cách nhìn của chúng tôi thì linh hồn là một trường năng lượng thông tin thứ tự. Vấn đề trường thông tin cũng đã được người ta nghiên cứu trên quan điểm vật lý lượng tử dưới hình thức một information field theory.
Những điều đã trình bày nói trên cho ta thấy sự sống và cao nhất là con người hiện diện trong vũ trụ với mối quan hệ Thiên – Địa – Nhân luôn tham gia vào nhiều quá trình Vật lý và Sinh Học Lượng Tử. Cơ thể con người với khoảng 50.000 tỷ tế bào hiển nhiên là một hệ thống cấu trúc các nguyên tử với những nguyên lý phức tạp. Thân thể con người đang tương tác với rất nhiều các dạng trường năng lượng và thông tin khác nhau. Vai trò của tuyến tùng (PG) cho thấy nó là một máy thu phát lượng tử vì có khả năng giao tiếp với các linh hồn. Sự có mặt của một số ít nhà tiên tri, một số nhà ngoại cảm trên thế giới cho thấy họ là những người sở hữu một PG chưa bị vôi hóa, chưa bị vô hiệu hóa. Trường hợp của Hoàng Thị Thiêm (Việt Nam, trò chuyện với cõi vô hình) đã được nhiều nhà nghiên cứu trên thế giới kiểm nghiệm và công nhận khả năng giao tiếp với các linh hồn nhờ sử dụng năng lực của Thiên Nhãn (con mắt thứ ba) là một ví dụ đáng kinh ngạc. Sự tồn tại của trường sinh học đã được quan tâm nghiên cứu và ứng dụng có hiệu quả tuy vẫn chứa đựng nhiều bí ẩn… Trên thực tế việc nghiên cứu các trường vật lý của các hạt hạ nguyên tử ngày càng đối mặt với nhiều thách thức. Một câu hỏi đặt ra là: Khả năng để một hệ cấu trúc thứ tự như con người liệu có thể thâm nhập và khám phá các trường năng lượng không ngừng biến ảo đó chăng…?
Khả năng tiên tri và hoạch định chiến lược của cụ Trạng Trình là sự tổng hợp của nhiều yếu tố. Sự thông minh bẩm sinh khiến cụ đã được coi là thần đồng từ lúc 7 tuổi. Trên thế giới các thần đồng như Mozart, Beethoven, Galileo, Pascal, Voltaire, … đều được xem là đã thừa hưởng một tài sản trí tuệ của một linh hồn đã có trước thâm nhập vào thân thể họ. Tác phẩm Thái Ất Thần Kinh của Trạng Trình Nguyễn Bỉnh Khiêm cho thấy cụ đã nghiên cứu rất sâu về Chiêm Tinh Học, Dịch Lý Học, Mệnh Lý Học và Binh Pháp Tôn Tử. Nhưng khả năng tiên tri, nhìn thấy được những sự kiện ở tương lai ngoài việc vận dụng quy luật tuần hoàn của các sao thì với thần nhãn của cụ hiệu ứng lượng tử Spooky action at distance (hiệu ứng tác động ma quái) chắc chắn đã phát huy tác dụng, bởi với hiệu ứng này khái niệm không gian, thời gian không còn ý nghĩa thông thường. Nếu chúng ta quá chìm đắm vào những khái niệm vật lý cổ điển ta sẽ có nguy cơ rơi vào trạng thái vô minh. Thực ra theo quan niệm của Phật giáo, hiệu ứng này thuộc về Bảy Phép Thần Thông (phép Túc Tận Thông cho phép nhìn thấy quá khứ và tương lai). Con người có thể đạt được nhờ sự sở hữu một PG tinh khiết, thiền định và tu luyện khổ công. Chính các nhà vật lý lượng tử đang xa rời khái niệm không gian thời gian cổ điển, họ đang tìm kiếm lối thoát nhờ những không gian 10 hoặc 11 chiều. Trong triết học Phật giáo không có quá khứ, không có vị lai, tất cả đang hiện diện.
Ngoài khả năng chiêm tinh, dự báo Nguyễn Bỉnh Khiêm còn là một nhân cách thanh khiết, cao cả, một nhà triết học, một nhà thơ lớn. Bàn về triết lý của cuộc sống, Nguyễn Bỉnh Khiêm nhìn thấu cái nguyên nhân của mọi nguyên nhân:
Lòng tham là nguyên nhân của tội ác.
Tình yêu thương là cội nguồn của hạnh phúc.
Trên suốt lộ trình của một cuộc đời làm khoa học, hầu hết chúng ta vẫn say mê những vần thơ của Tuyết Giang Phu Tử:
Ta dại ta tìm nơi vắng vẻ
Người khôn người đến chốn lao xao…..
Khôn mà hiểm độc là khôn dại
Dại mà hiền đức ấy dại khôn…
THANKS
Xin có mấy ý kiến tản mạn sau:
1) Từ trước tới nay các khoa học gia vô tình hoặc hữu ý đã chia tách “hiện thực khách quan” (khách thể nhận thức) với “nhận thức chủ quan” (chủ thể nhận thức của con người).
Ở tầm vĩ mô của cơ học cổ điển Newton thì cái lối chia chẻ ấy cũng góp phần thúc đẩy khoa học – công nghệ phát triển.
Nhưng ở tầm vi mô của Cơ học lượng tử, Sinh học phân tử, của triết học nhận thức luận thì việc phân chia rạch ròi như vậy sẽ dẫn tới những nghịch lý và sai lầm.
Vì “hiện thực khách quan” và “hiện thực chủ quan” luôn hòa trộn trong “Cái Một”.
Đó là nội hàm của câu nói của Max Planck mà tác giả đã viện dẫn ở đầu bài viết.
Hay nói cách khác chúng ta luôn bị “nhúng” trong một HỆ TỰ QUY CHIẾU khi tìm hiểu tự nhiên và chính bản thân mình.
2)Thuyết tương đối rộng và hẹp thực chất được xây dựng trên một hệ tiên đề, thí dụ:
Trong thuyết tương đối hẹp có Tiên đề về vận tốc ánh sáng là giới hạn trên của mọi vận tốc và không thay đổi với mọi hệ quy chiếu. Thuyết Tương đối hẹp dẫn đến công thức chuyển đổi giữa vật chất và năng lượng: E bằng m nhân với c bình phương. Điều này dẫn đến việc người Nhật phải lãnh 2 quả bom nguyên tử vào cuối Thế chiến II.
Phương trình trường (phương trình của Chúa) chính là một TIÊN ĐỀ trong thuyết tương đối rộng. Giải phương trình này người ta tìm thấy các Lỗ đen (Giải Nobel 2020) và Lỗ sâu đục- Các thực thể Ly – Kỳ – Quặc của Vũ trụ.
Các phương trình thường thông minh hơn những người đề xuất ra nó.
3) Cơ học lượng tử cũng được xây dựng trên một hệ tiên đề.
Phương trình mô tả Hàm sóng, Phương trình Euler – Lagrange mà tác giả viện dẫn trong bài viết thực chất là các TIÊN ĐỀ quan trọng của Cơ học lượng tử.
Theo Định lý Bất toàn thì Cơ học lượng tử có thể vừa không đầy đủ và vừa chứa đựng mâu thuẫn nội tại.
Trong lúc cộng đồng khoa học hứng khởi tột độ với việc tìm ra “Hạt của Chúa” thì S. Hawking vẫn coi Mô hình chuẩn là một mô hình “xấu xí”.
Hiện đã có nhiều hiệu ứng không thể giải thích được bằng Mô hình chuẩn.
4) DNA cũng hoạt động trên một hệ tiên đề, do đó các cơ thể sống cũng ” vừa không đầy đủ và vừa mâu thẫn”. Điều này giải thích quá trình Sinh – Lão – Bệnh – Tử của sự sống và Thành – Trụ – Hoại – Không (Diệt) của Vũ trụ khi xét trên quan điểm của các quá trình chuyển đổi vật chất và năng lượng.
5) May thay, ý thức và trí tuệ là phi vật chất.
Nó sẽ tồn tại khi cái thể xác vật chất bị hoại diệt.
ThíchThích